×
Customer Login
Login
Registration
Submit
Forgot your password?
Save & Continue
Cancel
UDISE Code- 23060108212
Home
About Us
Mandatory Disclosure
Academics
Admission
Curriculum
Norms Followed For Fixing Fee
Fee Structure
Staff List
Facilities
AHSC
Grievance-Redressal committee
POSCE
SSSC
Principal
Director
Gallery
Search TC
Contact
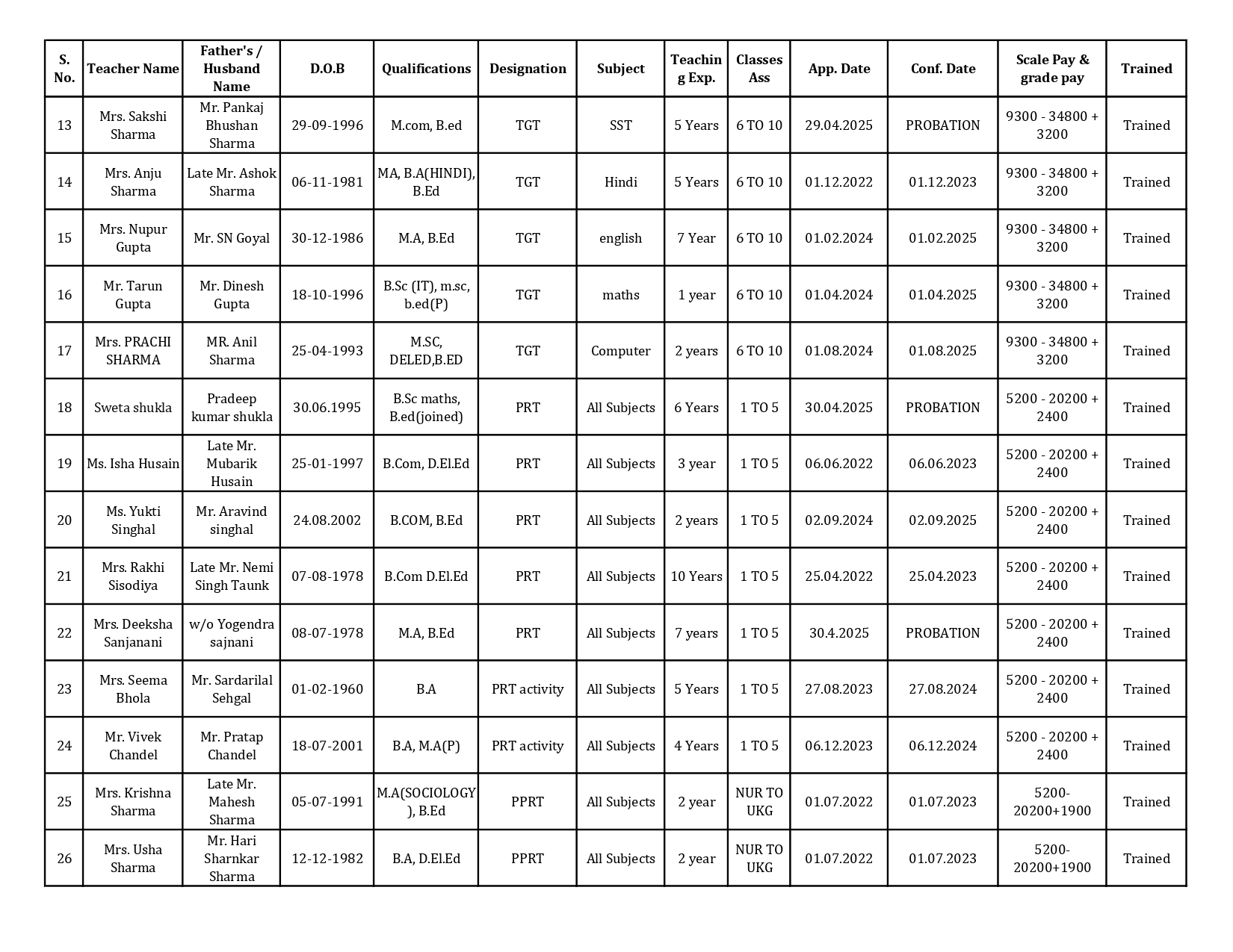
Staff List